Stimpy Posted January 6, 2012 Posted January 6, 2012 Почитал всякие исследования о беспроводке и обнаружил любопытные вещи: -интереференции нет у радиосигнала, есть только у радоипередающего устройства, которое нелинейно -сделав линейный сигнал, можно легко отделить его от другого линейного сигнала (кстати была уже тема примерно об этом же с жаркими спорами) -все регуляторские правила в области связи датированы 30 годами прошлого века, когда были очень нелинейная элементная база и все мешало друг -другу и были приняты правила географического разделения и разделение основаное на мощьности передающих устройсв во избежании этой интерференции. Итак, если нет интереференции, во что это может выйти в долгосрочной (а может и краткосрочной) перспективе? -не будет смысла в РЕГУЛЯЦИИ спектра, т.е. будет нарушен постулат - спектр - исчерпаемый ресурс -не будет смысла регулировать мощьность приемо-передающих устройв - каждый сигнал идет своей дорогой и не мешает другому. -т.к. не будет регуляторов, беспроводными технологиями, их ввреднением, начнут заниматься много компаний -мобильная связь в нынешнем виде начнет загибаться, на смену придет бесплатная мировая глобальная беспроводная сеть Все мобильные операторы начинают разорятся :)))) Далее добавляйте сами :))) Вставить ник Quote
zurz Posted January 6, 2012 Posted January 6, 2012 (edited) да здравствуют сферические кони в вакууме! самые сферические кони на свете! провайдеру слушать эти бредни теоретика нет смысла. он в них отказывается изучать определенную область физики, перекладывая эту задачу на чужие плечи. -не будет смысла регулировать мощьность приемо-передающих устройв - каждый сигнал идет своей дорогой и не мешает другому. растущие между точками обмена трафиком берёзы, которые находятся вне зоны Френеля, но оказывающие нелинейное воздействие на сигнал, предложите искоренить как класс? печаль. Edited January 6, 2012 by zurz Вставить ник Quote
Stimpy Posted January 6, 2012 Author Posted January 6, 2012 Подумате ширше, не только про вайфай частоты Вставить ник Quote
micho Posted January 7, 2012 Posted January 7, 2012 Почитал основы РТЦиС и курс физики средней школы, и выяснил любопытные вещи: Интерференция наблюдается только для когерентных волн. Взаимное влияние сигналов на нелинейных элементах приемников не называют интерференцией. Поскольку в нашем мире нет ничего идеального, то неплохо бы объяснить, как вы будете разделять два сигнала одной частоты пришедшие от разных источников? И прошу не заливать про то что человек может слышать другого человека сквозь шум, если вы побываете в классе обычной средней школы на перемене, то ваше мнение сильно изменится. Вставить ник Quote
karpa13a Posted January 7, 2012 Posted January 7, 2012 -интереференции нет у радиосигнала, есть только у радоипередающего устройства, которое нелинейно а приемниг, значит, после того как словил 10+ одинаковых сигналов (частотка-амплитудка и прочие) решает, что вот этот квант мне больше нравится и в нем явно инфа для мну. пичалька. Вставить ник Quote
Stimpy Posted January 7, 2012 Author Posted January 7, 2012 Кто-нибудь что-то умное скажет? Вставить ник Quote
Saab95 Posted January 7, 2012 Posted January 7, 2012 Кто-нибудь что-то умное скажет? Если разместить оборудование так, чтобы трассы прохождения радиоволн были перпендикулярны и пересекались в одной точке, то никаких наводок друг на друга они оказывать не будут. Вставить ник Quote
Jenix Posted January 7, 2012 Posted January 7, 2012 -интереференции нет у радиосигнала, есть только у радоипередающего устройства, которое нелинейноН-да. Это принцип суперпозиции полей. 7 класс школы. -сделав линейный сигнал, можно легко отделить его от другого линейного сигнала (кстати была уже тема примерно об этом же с жаркими спорами), датированы 30 годами прошлого века, когда были очень нелинейная элементная база тут есть проблемс, Хьюстон.Вся современная база тоже нелинейная. На этом основаны пеленгаторы закладок-прослушек и локаторы обрывов кабелей. Вставить ник Quote
SergeiK Posted January 8, 2012 Posted January 8, 2012 -сделав линейный сигнал, можно легко отделить его от другого линейного сигнала (кстати была уже тема примерно об этом же с жаркими спорами), датированы 30 годами прошлого века, когда были очень нелинейная элементная база тут есть проблемс, Хьюстон.Вся современная база тоже нелинейная. Более того, современная электронная база намного более нелинейна, чем 70-80 лет назад. Поэтому музофилы (клинические) предпочитают ламповую технику, а не полупроводниковую. Отдельно, что касается интерференции Тыц: "Интерферировать могут все волны, однако устойчивая интерференционная картина будет наблюдаться только в том случае, если волны имеют одинаковую частоту и колебания в них не ортогональны." То есть даже волны с одной частотой но с разной поляризацией будут независимы. Так почему же до сих пор никто не пользуется неограниченным эфиром? Как же тогда две точки доступа на близких каналах могут мешать друг другу? Очень кратко - суть в том, что одна волна не несет никакой информации. Она несет только энергию. Чтоб была информация, требуется добавить модуляцию (это очень большая тема). И эта модуляция значительно расширяет спектр, то есть это не одна волна одной частоты, а множество волн в диапазоне частот, в том числе и разных поляризаций. Ну а дальше - курс радиофизики и много умных книжек, чтоб понять, что физику обмануть все же не получиться :). Вставить ник Quote
Ivan_83 Posted January 8, 2012 Posted January 8, 2012 Ну а дальше - курс радиофизики и много умных книжек, чтоб понять, что физику обмануть все же не получиться :). Обмануть нет, найти обходные пути - да, но вряд ли на таком макроуровне. Вставить ник Quote
karpa13a Posted January 8, 2012 Posted January 8, 2012 обходные пути - да и ценник этого пути озвучте заоднем. что б сирые и убогие покорились новой моде) Вставить ник Quote
Janus Posted January 9, 2012 Posted January 9, 2012 Стимпи, что вы курили?! Не! Не так! ;) ЧТО вы курили? И не пробовали ли поделиться дозой с Лаби? :))) Вставить ник Quote
croleg Posted January 10, 2012 Posted January 10, 2012 (edited) 134 Edited February 21, 2018 by croleg Вставить ник Quote
micho Posted January 10, 2012 Posted January 10, 2012 croleg премии дают изобретателям всякой фигни, а не трансляторам. Вставить ник Quote
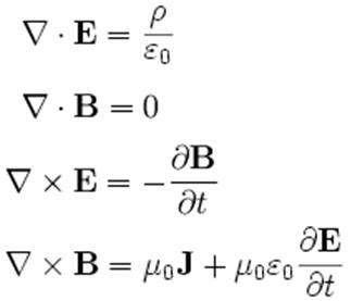
Stimpy Posted January 10, 2012 Author Posted January 10, 2012 Стимпи, что вы курили?! Не! Не так! ;) ЧТО вы курили? Это не я, это вот эти товарищи обкурились: Committee on Wireless Technology Prospects and Policy Options DAVID E. LIDDLE, U.S. Venture Partners, Chair YOCHAI BENKLER, Harvard University DAVID BORTH, Motorola Labs (ret.) ROBERT W. BRODERSEN, University of California, Berkeley DAVID D. CLARK, Massachusetts Institute of Technology THOMAS (TED) DARCIE, University of Victoria DALE N. HATFIELD, University of Colorado, Boulder MICHAEL L. KATZ, University of California, Berkeley PAUL J. KOLODZY, Kolodzy Consulting LARRY LARSON, University of California, San Diego DAVID P. REED, Massachusetts Institute of Technology GREGORY ROSSTON, Stanford University DAVID SKELLERN, National ICT Australia JON EISENBERG, staff director И сообща написали это: Interference !?! • In 1912, 1927 and 1934 when the rules of spectrum allocation were established, the principal barrier to communication was atmospheric and component noise. • As a result, any interference was considered intolerable, and frequencies were allocated to only one service in a given geography. • Analog radio components of the time were noisy and very non‐linear. • There were few, large transmitters and many silent, cheap receivers, and regulation was designed to suit this model. Maxwell’s Equations may be resolved into two Partial Differential Equations of Second Order • Maxwell’s Equations • Resulting Wave Equations They are LINEAR equations, and so superposition holds for multiple waves, which add linearly at any point. Time for a Change in Perspective • So, signals by themselves don’t interfere with each other; they add or subtract linearly, and can be separated. • “Interference” is actually a result of the limitations of the receivers we build; a property of radio systems, not of radio signals. • We need to build radios that tolerate interference by separating coincident signals! • “Interference” is easily avoided in most cases, and has become an excuse for making spectrum scarce and thus restraining competition. полный текст здесь: http://www.nap.edu/catalog.php?record_id=13051#toc премии дают изобретателям всякой фигни, а не трансляторам. да, правильно,micho, не я это придумал, но тут видимо есть офигенные спецы типа Janus, они наверняка все лучше знают этих изобретателей ;) а я так, потролилл немного :) Вставить ник Quote
Deac Posted January 10, 2012 Posted January 10, 2012 Кто-нибудь что-то умное скажет? При таком заходе - нет. Если разместить оборудование так, чтобы трассы прохождения радиоволн были перпендикулярны и пересекались в одной точке, то никаких наводок друг на друга они оказывать не будут. Проблемой то является не интерференция волн, как таковых, а влияние шумов в полосе приёмника. При этом все колебания, не несущие полезной информации для конкретного приёмника - являются шумами. Всё это и методы противодействия(активные, пассивные) входит в программу спецкурса и доступно тем, кто готов учиться 6 лет. Вставить ник Quote
Sonne Posted January 10, 2012 Posted January 10, 2012 We need to build radios that tolerate interference by separating coincident signals! Переведу Надо бы создать радио, которое устойчиво к интерференции при помощи разделения совпадающих в пространстве сигналов. Сильная идея. Дело за малым - сделать. Напомните пожалуйста, когда можно будет ознакомится с прошлым изобретение - малогабаритный необслуживаемый генератор энергии не потребляющий топлива. Вставить ник Quote
Прохожий Posted January 10, 2012 Posted January 10, 2012 А ведь действительно, суммарный сигнал несет в себе все свои составляющие, всего-то делов - разделить их обратно, не зная ни одной :) А тут всякие евреи со своей ортогональностью... Опять жидо-масонский заговор? ;) Вставить ник Quote
Sonne Posted January 10, 2012 Posted January 10, 2012 Почитал ссылку Stimpty В ней не слова "о не будет смысла в РЕГУЛЯЦИИ спектра", а как раз наоборот речь о повышении эффективности регулирования спектра. Конечно нет ни слова об отмене интерференции. У нас такими же статейки проскаивают в журнале издаваемом ГКРЧ. Accounting for all dimensions of spectrum use. Spectrum should be allocated using time in addition to traditional dimensions of frequency, space, and power. Technology advances also make possible new approaches to allocation in these traditional dimensions. Promoting efficiency. Three types of efficiency are identified: spectral, technical, and economic. There are situations where spectral and technical efficiency may take priority over economic efficiency in order to promote public interest goals. However, economic efficiency can be promoted by providing spectrum users with flexibility of use and ease of transferability. This could allow maximizing of the value of services provided. “Good neighbor” incentives. To the extent possible grouping like systems or devices (e.g., low-power systems with high sensitivity to interference) together in spectrum “neighborhoods.” Periodic review of rules. Rules should be reviewed so that they can be adjusted in light of technological advances made since those rules were made. Such reviews should be scheduled at intervals that permit adjustment of business plans and investments. Enforcement. Enforcement increases in complexity with the complexity of technology and applications. Proper enforcement requires sufficient resources for monitoring use of the spectrum. Вставить ник Quote
Stimpy Posted January 10, 2012 Author Posted January 10, 2012 Почитал ссылку Stimpty В ней не слова "о не будет смысла в РЕГУЛЯЦИИ спектра", а как раз наоборот речь о повышении эффективности регулирования спектра. Конечно нет ни слова об отмене интерференции. У нас такими же статейки проскаивают в журнале издаваемом ГКРЧ. Accounting for all dimensions of spectrum use. Spectrum should be allocated using time in addition to traditional dimensions of frequency, space, and power. Technology advances also make possible new approaches to allocation in these traditional dimensions. Promoting efficiency. Three types of efficiency are identified: spectral, technical, and economic. There are situations where spectral and technical efficiency may take priority over economic efficiency in order to promote public interest goals. However, economic efficiency can be promoted by providing spectrum users with flexibility of use and ease of transferability. This could allow maximizing of the value of services provided. “Good neighbor” incentives. To the extent possible grouping like systems or devices (e.g., low-power systems with high sensitivity to interference) together in spectrum “neighborhoods.” Periodic review of rules. Rules should be reviewed so that they can be adjusted in light of technological advances made since those rules were made. Such reviews should be scheduled at intervals that permit adjustment of business plans and investments. Enforcement. Enforcement increases in complexity with the complexity of technology and applications. Proper enforcement requires sufficient resources for monitoring use of the spectrum. да, ссылка не совсем точная, чтобы тезисы посмотреть надо пдф скачать, а для этого зарегиться. Forward‐looking policy options (1) • Consider “open” as the default policy regime at a frequency range of approximately 20 to 100 ghz • Use new approaches to tolerate interference and a wider set of parameters in making assignments • Introduce technological capabilities that enable more adaptive spectrum management • Trade near‐absolute outcomes for statistically acceptable outcomes, as is done in the Internet • “Design for light” as well as “design for darkness,” assuming sharing rather than a silent, dedicated frequency. Forward‐looking policy options (2) • Consider regulation of quality of receivers and networks of transceivers, rather than transmitters • Exploit programmability so that radio behavior can be modified to comply with operating rule changes • Use adaptive and environment‐sensing capabilities to reduce the need for centralized management • Establish enhanced mechanisms for dealing with and eventually retiring legacy systems Про отмену интерференции это мое, я попытался представить, что может произойти :) Вставить ник Quote
karpa13a Posted January 10, 2012 Posted January 10, 2012 что может произойти :) тоже самое что и при холодном синтезе и прочих сверх-световых скоростях кораблей в нашем Большом театре) Вставить ник Quote
Janus Posted January 10, 2012 Posted January 10, 2012 Почитал ссылку Stimpty В ней не слова "о не будет смысла в РЕГУЛЯЦИИ спектра", а как раз наоборот речь о повышении эффективности регулирования спектра. Конечно нет ни слова об отмене интерференции. Про отмену интерференции это мое, я попытался представить, что может произойти :) Ты элдин учил? Попытайся теперь представить, что ты офигенный спец ;) Вставить ник Quote
tartila Posted January 10, 2012 Posted January 10, 2012 -интереференции нет у радиосигнала, есть только у радоипередающего устройства, которое нелинейно -сделав линейный сигнал, можно легко отделить его от другого линейного сигнала (кстати была уже тема примерно об этом же с жаркими спорами) -все регуляторские правила в области связи датированы 30 годами прошлого века, когда были очень нелинейная элементная база и все мешало друг -другу и были приняты правила географического разделения и разделение основаное на мощьности передающих устройсв во избежании этой интерференции. - Интерференции нет у радиосигнала, но есть у двух когерентных радио-волн, которые формируются приемо-передающими устройствами. - Что подразумевается под понятием: "линейный сигнал" применительно к радио-технике? - Что именно Вы считаете не корректным в этих правилах? Вставить ник Quote
Recommended Posts
Join the conversation
You can post now and register later. If you have an account, sign in now to post with your account.