Jump to content

Recommended Posts

Posted

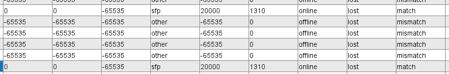
Нужна помощь с ddm информацией по портам bdcom 3310 и 3608 (другие не тестировались). При сборе по snmp (OID -  .1.3.6.1.4.1.3320.9.63.1.7), получается информация вида:

image.thumb.png.5a659b0be8cfd662d36ba9510e18db30.png
image.thumb.png.0c8bd690ff4d9805b7092f010166a920.png

Как видно на скринах, много полей забиты -65535 - по идее минимум для short int, некоторые поля при этом забиты -214748364 - минимум для long int. У 74 снмп порта в поле txPower1 стоит значение 0, хотя оно должно хранить число в единицах 0.01DBm, то есть 92 (см. ответ с телнета далее), по аналогии с rxPower1 как минимум (-4000).

При этом по телнету сбор выглядит так:

image.thumb.png.437344d29f651b41ad2b488b0c5fb56c.png
 

Также есть опечатка в заголовке поля voltage (vlotage)
image.thumb.png.f7c88c309e0b4adf2e6053fc4e78bf07.png

Не знаю что предположить, либо есть более новые мибы для сбора ddm инфы, либо на этот раздел просто забили.

Помогите найти мибы новые, если они есть или отдельно OIDы, пожалуйста.

Posted (edited)

не понял по вашим скринам, кроме телнетовского, что именно вы пытаетесь собрать, но если вам чем-то поможет, то можете подергать oid'ы из шаблона из топика:

upd: относительно более свежие MIBы для BDCom OLT можно взять отсюда

https://www.fs.com/ru/products_support/search.html?id=110482&page=1&keyword=snmp

от свитчей S3400 S3900

Edited by nixx

Join the conversation

You can post now and register later. If you have an account, sign in now to post with your account.

Guest
Reply to this topic...

×   Pasted as rich text.   Paste as plain text instead

  Only 75 emoji are allowed.

×   Your link has been automatically embedded.   Display as a link instead

×   Your previous content has been restored.   Clear editor

×   You cannot paste images directly. Upload or insert images from URL.

×
×
  • Create New...
На сайте используются файлы cookie и сервисы аналитики для корректной работы форума и улучшения качества обслуживания. Продолжая использовать сайт, вы соглашаетесь с использованием файлов cookie и с Политикой конфиденциальности.